Halomonas zhangzhouensis MCCC 1A11036等6株菌具有好氧脱氮功能,或可用于硝酸盐污染的生物治理
相关菌株:
Halomonas zhangzhouensis MCCC 1A11036T
H. aerodenitrificans MCCC 1A11058T
H. sulfidoxydans MCCC 1A11059T
H. ethanolica MCCC 1A11081T
H. sulfidivorans MCCC 1A13718T
H. tianxiuensis MCCC 1A14433T
背景:
生物反硝化是一种兼性呼吸途径,其中硝酸盐、亚硝酸盐、一氧化氮和氧化亚氮被逐步还原为氮气,每一步都由至少一种特定的金属酶催化,同时伴随能量储存。好氧反硝化中氧气和硝酸盐被同时用作电子受体,因其高生长速率和优异的硝酸盐去除能力而被广泛应用于生物脱氮系统。这一重要过程在过去三十年中得到了深入研究。反硝化已被认为是盐单胞菌属的一个重要功能特征,因为许多物种被描述为反硝化菌,有些甚至被描述为好氧反硝化菌。对盐单胞菌属内反硝化物种的大多数研究,特别是好氧反硝化机制的知识相当有限。
最近,异养硫氧化硝酸盐还原菌引起了越来越多的关注。异养反硝化菌的硫化物氧化也在Halomonas mongoliensis 和H. kenyensis 中观察到,它们可以在乙酸作为碳源、硝酸盐或氧化亚氮作为电子受体的情况下氧化硫化物。几项研究表明,盐单胞菌在生物反应器中占主导地位,并在去除硫化物和硝酸盐方面发挥重要作用。
研究结果:
对从西北印度洋、西南印度洋、太平洋等的深海沉积物、硫化物和海水样品分离的菌株进行应用潜力评估,从中分离出14株盐单胞菌,其中6株为新物种。所有这14株菌都能进行好氧反硝化和异养硫化物氧化,都表现出高效的好氧反硝化能力。在以硝酸盐或者亚硝酸盐为唯一氮源时,在好氧和厌氧条件下均能进行反硝化,反硝化最终气体产物主要为N2和N2O。这些菌株的脱氮效率高(如图1),它们几乎能在24h内将15 mM的NaNO3完全去除,NO3−-N 的去除效率可以达到 8.75 mg L−1 h−1,高于大部分已报道的好氧反硝化菌(Liu et al., 2018),在高盐废水的生物脱氮中具有良好的应用前景。此外,O₂的百分比在24小时内下降到约5%,表明它们在反硝化过程中可以进行硝酸盐和氧气的共呼吸。虽然亚硝酸盐在硝酸盐还原过程中积累,但它被迅速去除,并在24小时内几乎检测不到。

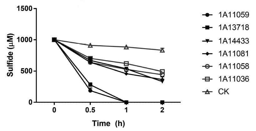
图1. NO3−-N去除率, NO2−-N累积量以及菌体OD600
六株新物种可在4~50 °C生长,MCCC 1A13718甚至可达55 °C。它们可以耐受高达18% (w/v) 的盐度,MCCC 1A13718甚至高达20%。
所有六株新物种分离株还能进行异养硫化物氧化,以硫化钠为底物时,能氧化硫化物产生硫代硫酸钠;也能氧化硫代硫酸盐产生连四硫酸盐。菌株 MCCC 1A11059和 MCCC 1A13718在好氧条件下表现出最强的硫化物氧化能力(图2);它们可以在1小时内完全氧化1 mM的Na₂S,硫化物氧化速率分别达到50和54 µmol min⁻¹ g⁻¹细胞干重,这与其他报道的异养硫氧化菌相当 (Hou et al., 2018)。这些菌株能同步反硝化和异养硫化物氧化,同时去除无机氮和硫化物,在H2S和硝酸盐污染的生物治理中具有较好的应用前景。

图2. 菌株硫化物氧化(初始Na2S浓度为1 mM)
相关文献:Wang L, Shao Z. Aerobic Denitrification and Heterotrophic Sulfur Oxidation in the Genus Halomonas Revealed by Six Novel Species Characterizations and Genome-Based Analysis. Front Microbiol. 2021 Mar 18;12:652766. doi: 10.3389/fmicb.2021.652766. PMID: 33815342; PMCID: PMC8014003.
汇编:Li G.
如有任何问题,请随时联系liguangyu@tio.org.cn